Resumen
El teorema de Bayes es la base para el clasificador Naive Bayes.
Este clasificador utiliza las probabilidades a priori de los eventos para estimar la probabilidad de eventos futuros por medio del teorema de Bayes.
Este clasificador utiliza datos históricos o de entrenamiento para calcular la probabilidad observada de cada evento en función de su vector de características.
Para realizar una predicción, el clasificador es utilizado con datos que tienen la clase desconocida y se utilizan las probabilidades observadas para estimar la clase más probable.
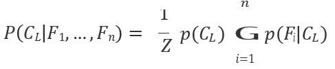
La fórmula general del clasificador Naive Bayes se puede definir de la siguiente manera: La probabilidad del nivel L de la clase C, dada la evidencia proporcionada por las variables de F1,… Fn, es igual al producto de las probabilidades de cada evidencia condicionada al nivel de la clase, la probabilidad a priori del nivel de la clase y un factor de escala 1/Z que convierte el resultado en probabilidad:

Este clasificador se utiliza principalmente para clasificar texto, para detección de intrusos en redes de computadores, diagnósticos médicos, etc. Por ejemplo, se puede utilizar la frecuencia de las palabras de los correos electrónicos para identificar
nuevos correos spam en el futuro.